-
20 载
电测设备“智”造商
400-8818-755
-
-
-
20 载
电测设备“智”造商
400-8818-755
-
20 载
电测设备“智”造商
400-8818-755
-
20 载
电测设备“智”造商
400-8818-755
在被测仪器规定的工作条件下,检测A类接地电阻测试仪的基本误差时用标准交流电阻箱为标准器,检测B类接地电阻测试仪的基本误差时用标准交流电阻箱、标准电感、标准电容或标准阻抗作标准器。标准器的误差极限值应不超过接地电阻测试仪准确度等级规定的基本误差极限值的1/4。
1.误差检测点选取
模拟式接地电阻测试仪在测量范围内的每个有分度数字的分度线处检测。
数字式接地电阻测试仪在其有效测量范围内均匀选取10个测试值(包括测量范围的上限值、下限值或其附近处的值)处进行检测。
模拟式与数字式同时显示的接地电阻测试仪在模拟式接地电阻测试仪所检测的分度线处检测。
2.误差检测方法
将标准器、等效辅助接地电阻按图1(三端子接地电阻测试仪)或图2(四端子接地电阻测试仪)所示的方式与接地电阻测试仪连接。
E——接地体端子;P——电压(电位)极端子;C——电流极端子;
RE——标准器(等效接地电阻);RC、RP——等效辅助接地电阻。
P1、P2——电压(电位)极端子;C1、C2——电流极端子;
RE——标准器(等效接地电阻);RP、RC——等效辅助接地电阻。
调节标准交流电阻箱(或标准电感、标准电容、标准阻抗),使接地电阻测试仪的示值依次按照设置的检定点值BX,记录相应标准器对应值BR。
等效辅助接地电阻:A类为(500±10)Ω;B类为(50±0.1)Ω。
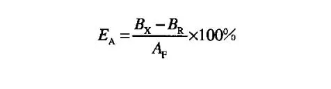
接地电阻测试仪的基本误差按式计算:
式中:
EA——接地电阻测试仪的基本误差;
Bx——接地电阻测试仪的示值;
BR——标准器的示值;
AF——基准值(接地电阻测试仪的示。



