当前位置:BTY > 技术支持 > 技术指南

串联谐振的电抗是多少?你知道吗

阅读次数:

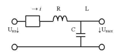
  如果电容器和电感线圈与发电机串联,则只要电抗相等,就会发生串联谐振,在这种情况下,Z的有效部分应尽可能小。



 

  应当注意,仅在理想示例中,电感和电容仅具有电抗品质,在实际的电路和元件中,导体的有源电阻总是很小的,尽管有源电阻很小。

变电站变频串联谐振试验装置

国电西高GDTF系列变电站变频串联谐振耐压试验装置

 

  在谐振时,能量在电感器和电容器之间交换,在理想的示例中,当最初连接能源(发电机)时,能量累积在电容器(或电感器)中,并且在断开连接后,由于这种交换,会产生连续的谐振。

  根据欧姆定律,电感和电容两端的电压大致相同:



 

  其中X分别为Xc电容或XL感抗。

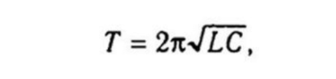
  由电感和电容组成的电路称为谐振电路。其频率由以下公式计算:



 

  谐振周期由汤普森公式确定:



 

  由于电抗取决于频率,因此电感电阻随频率增加而增加,而电容则减小,当电阻相等时,总电阻将显着降低,这在图中反映出来:

  电路的主要特性是品质因数(Q)和频率,如果我们将电路视为四端口网络,那么经过简单的计算后,其传输系数将降低为品质因数:K=Q

  并且,电路端子处的电压与电路的传输系数(品质因数)成比例地增加。

  在串联谐振下,Q因子越高,电路元件两端的电压将超过所连接发电机的电压。电压可能上升数十倍甚至数百倍。如图所示:

  电路中的功率损耗仅归因于有源电阻的存在。仅从电源获取能量以维持谐振。

  功率因数为:

  此公式表明损耗是由于有功功率引起的:

 

国电西高logo
国电西高官方电话
国电西高官方微信
返回顶部
国电西高产品认证
  • 承装(修、试)电力设施许可证:5-4-01248-2020
  • 全国免费咨询热线:400-8818-755
  • 销售热线:027-65605916 027-65612086
  • 售后服务:027-85568161 公司传真 027-65606183
  • 官方邮箱:hv@gdxgs.com
  • 公司地址:武汉市东西湖区创谷路东西湖科创中心A1-3栋
  • ©2025 武汉国电西高电气有限公司 版权所有

    联系我们 法律声明 隐私政策 地区服务