-
20 载
电测设备“智”造商
400-8818-755
-
-
-
20 载
电测设备“智”造商
400-8818-755
-
20 载
电测设备“智”造商
400-8818-755
-
20 载
电测设备“智”造商
400-8818-755
电力电缆振荡波局部放电检测的意义
国电西高GDOWS-10 电缆振荡波局放测试仪
通过局放测试,可以在电缆投运前发现缺陷,施工人员有足够的时间空间查明原因,消除隐患,避免电缆带病投入运行重复停电,影响电网的正常运行。
交接与预防性试验技术必须同时兼顾便捷性、安全性与等效性,其中尤以等效性原则最为关键。有利于变频谐振耐压试验方法现场实际应用,设备运行部门可以更充分的掌握电缆运行状态,对保障设备运行安全有重要意义。
振荡波原理:
振荡波测试系统的定位技术(时域反射法)
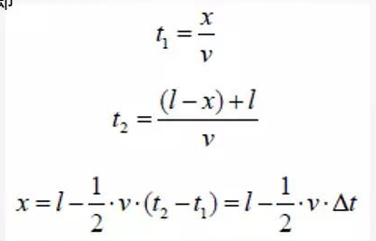
振荡波电压下的电缆局部放电定位技术是根据电磁波传输反射原理,即在缺陷处产生的局部放电脉冲向电缆两端传播,在电缆端头处如果没有匹配阻抗,局部放电脉冲将在端头处反射。国电西高根据在测量端测量的第一个沿测量端传输的脉冲及经另一端反射后传回测量端脉冲的时间差即可算出缺陷距离测量端的距离,从而定位出缺陷的位置。
其原理示意如图3所示。测试一条长度为l的电缆,假设在距测试端x处发生局部放电,脉冲将沿电缆向两个相反方向传播,其中一个脉冲经过时间t1到达测试端;另一个脉冲向测试端的对端传播,并在对端发生反射,之后再向测试端传播,经过时间t2到达测试端。根据两个脉冲到达测试端的时间差,可计算局部放电发生位置,即



