-
20 载
电测设备“智”造商
400-8818-755
-
-
-
20 载
电测设备“智”造商
400-8818-755
-
20 载
电测设备“智”造商
400-8818-755
-
20 载
电测设备“智”造商
400-8818-755
电感和电容的串联谐振称为电压谐振。谐振电路如图所示。
输入电压
电路参数:R,L,C ,让我们找出:
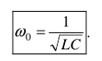
1)电路固有频率 ω0;
2)谐振时电路的总输入阻抗 ZP;
3)共振时的电流 IP;
4)谐振时电流和电压之间的相移 φP;
5)感应电压 ULP 和电容 UCP 谐振电路元件。
基于共振的一般立场,我们有
来自哪里
电路的固有频率仅取决于电路的参数,而不取决于电流和电压的大小。
根据表达式,自然频率 ω0链条可以有意调整:
1)容量变化 C(可变电容器);
2)通过改变电感(变压表);
3)通过同时改变电容和电感。前两种方法最常用,而后一种则很少。让我们确定谐振模式下电路的输入电阻。
即
在谐振电压下,谐振频率的电路电阻是纯活动的。它是最小的,并且仅由构成电路的金属的电阻确定。谐振电流为:
在串联谐振时,电路中的电流最大,并且具有有源特性。
在谐振电压下,输入电压和电流同相。
让我们找出电路中电源的承受能力。
在串联谐振时,电路仅消耗来自电源通过输入端子的有功电能。
电路内部有无功电能,它在电感和电容之间谐振,而不会进入电路外部。
确定电路元件上的应力大小。
电阻两端的电压等于为电路供电的电源的电压。
谐振时的电阻可表示为:
然后
因此,我们有
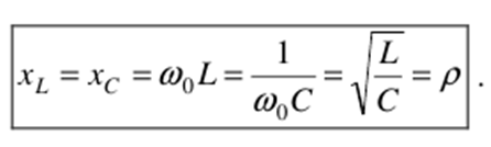
数量 ρ称为电路的波或特性阻抗。
现在定义关系 UL 要么 UC 至 U.
数量
称为电路的品质因数。
轮廓的品质因数 Q 显示了在谐振时,电感或电容两端的电压大于施加到电路的电压的次数。
在实践中可以达到的最高品质因数是200-500。
从所获得的表达式可以得出,串联谐振的主要特征是线圈和电容器上的电压的绝对值彼此相等,并且可以大大超过为电路供电的电源的电压。
串联谐振的矢量图如图所示。 UK 电感两端的电压,由无功电压组成 UL 和线圈的有功电阻 Ua实际上决定电路总的有源电阻。
电路的频率特性称为表征电路的电量与频率的函数关系。
串联谐振的主要频率特性如图所示。
可以证明所有曲线都是抛物线。
从图中可以看出,电路的谐振频率电阻最小,电流最大。
电流对频率的依赖性的性质表明该电路具有“选择性特性”。
选择性特性是指电路在某些频率下能够急剧改变其电阻或电导率的能力。
选择性特性广泛用于无线电工程设备和通信系统中。
我们看到,电路的Q因子越高,谐振曲线越尖锐,“电路选择性”越好。
在谐振频率下,电路处于纯有源状态,电流和电压同相。
在高于谐振的频率下,电路变为电感性的,电流滞后于电压。因此,在谐振电路中观察到相变现象。当前阶段从前导变为滞后,反之亦然。
在大电流工业电路中,相变是一种危险的现象。这可能会导致电动机旋转方向发生变化,这在许多工艺过程中都是不可接受的,并会导致紧急模式。
谐振时电路消耗的大电流限制了该模式的使用。通常,根据电压谐振方案,构建无线电发射机的输出电路,用于高频淬火,熔化和加热的强大高频发生器。



