国电西高
当前位置:BTY > 技术支持 > 技术指南

串联谐振电路选择性与通频带

人看过  0 人点赞   

1.选择性


image.png


串联谐振(串联谐振设备)电路对不同频率的信号有不同的响应,对谐振信号最突出(表现为电流最大)。而对远离谐振频率的信号加以抑制(电流小),这种对不同输入信号的选择能力称为“选择性”。


串联谐振的Q越大,谐振曲线越尖,当稍微偏离谐振点时,曲线就急剧下降,电路对非谐振频率下的电流具有较强的抑制能力(抑非能力),所以选择性好,Q是反映谐振电路性质的一个重要指标,许多实用的谐振电路的Q值可达到数百。


2.通频带


频带:实际信号由多频率组成,占有一定频率范围。该范围称为频带。


通频带Bf:谐振曲线上。电流I不小于谐振电流I0的0.707所对应的频率范围称为电路的通频带。


image.png


通频带越窄,电流的选择性越好。


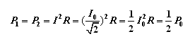
在上界频率f2,下界频率f1时电路消耗的功率为:


image.png


又称为半功率点频率。

0 人点赞
国电西高logo
国电西高官方电话
国电西高官方微信
返回顶部
国电西高产品认证
  • 承装(修、试)电力设施许可证:5-4-01248-2020
  • 全国免费咨询热线:400-8818-755
  • 销售热线:027-65605916 027-65612086
  • 售后服务:027-85568161 公司传真 027-65606183
  • 官方邮箱:hv@gdxgs.com
  • 公司地址:武汉市东西湖区创谷路东西湖科创中心 A1-3 栋
  • 国电西高微信公众号
    国电西高小程序
    国电西高抖音企业号
    国电西高微信视频号

    © 国电西高电气有限公司 版权所有

    联系我们 法律声明 隐私政策