当前位置:BTY > 技术支持 > 技术指南

串联谐振的电路特征

人看过  0 人点赞   

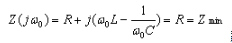
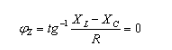
1.电路阻抗Z最小,且为纯电阻,即Z=R。谐振时谐振时,阻抗的虚部为零值,阻抗角为零。



 
2.电路中的电流I达到最大值(US一定),且与电源电压同相位。电路发生串联谐振时的电流称为谐振电流,用I0表示。当电源电压一定时:。可根据RLC串联电路的电流是否达到最大来判断电路是否发生了串联谐振。 
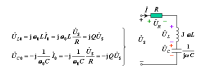
3.L、C上电压大小相等,方向相反,相互抵消。 


则: 


因此串联谐振又称电压谐振。 
谐振时电感和电容两端的等效阻抗为0,相当于短路。 

 

 

串联谐振的电路特征
0 人点赞
国电西高logo
国电西高官方电话
国电西高官方微信
返回顶部
国电西高产品认证
  • 承装(修、试)电力设施许可证:5-4-01248-2020
  • 全国免费咨询热线:400-8818-755
  • 销售热线:027-65605916 027-65612086
  • 售后服务:027-85568161 公司传真 027-65606183
  • 官方邮箱:hv@gdxgs.com
  • 公司地址:武汉市东西湖区创谷路东西湖科创中心 A1-3 栋
  • 国电西高微信公众号
    国电西高小程序
    国电西高抖音企业号
    国电西高微信视频号

    © 2026 国电西高电气有限公司 版权所有

    联系我们 法律声明 隐私政策