-
20 载
电测设备“智”造商
400-8818-755
-
-
-
20 载
电测设备“智”造商
400-8818-755
-
20 载
电测设备“智”造商
400-8818-755
-
20 载
电测设备“智”造商
400-8818-755
串联谐振是交流电路中的一种特殊的现象,在实际电路中,它既被广泛地应用,有时又需避免谐振情况发生。
国电西高GDTF系列变电站变频串联谐振试验装置
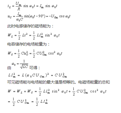
串联谐振时,电路储存于电感中的磁场能与储存于电容元件中的电场能之间进行能量交换。设外施电压为
,则在串联谐振时,电路中电感电流和电容电压分别为



