-
20 载
电测设备“智”造商
400-8818-755
-
-
-
20 载
电测设备“智”造商
400-8818-755
-
20 载
电测设备“智”造商
400-8818-755
-
20 载
电测设备“智”造商
400-8818-755
1、UL(w ) 的频率特性
2、UC(ω)的频率特性
当η=0时,电感相当于短路。电压全部加在电容上,UL= 0, UC= US 。当η=1时,即串联谐振,UL =UC = QUS。当η→∞时,电容相当于短路,电压全部加在电感上UL=US,UC=0。
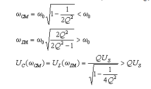
根据数学分析,当
才会出现UC(ω) ,UL(ω) 最大值。且UC(ωCM)=UL(ωLM)。
Q越高,ωLM和ωCM 越靠近ω0
由于电感、电容电压最大值出现在谐振频率附近很小的范围内。因此同样可以用串联谐振(串联谐振装置)电路来选择谐振频率及其附近的电压。即对电压也具有选择性。
上面得到的都是由改变频率而获得的。如改变电路参数,则变化规律就不完全与上相似。
上述分析原则一般来讲可以推广到其它形式的谐振电路中去。但不同形式的谐振电路有其不同的特征,要进行具体分析,不能简单搬用。



